Jony Rojas Rojas
Universidad Nacional Autónoma de Nicaragua, Managua. UNAN-Managua, Nicaragua
https://orcid.org/0000-0003-4428-5127
jonyrojas2029@gmail.com
Enrique Boanerge Pérez Avalos
Universidad Nacional Autónoma de Nicaragua, Managua. UNAN-Managua, Nicaragua
https://orcid.org/0000-0003-1984-1697
eperezavalos666@gmail.com
30/01/2023
21/03/2023
En un juego no cooperativo, el beneficio de los agentes involucrados en el juego depende de su función de pago y la estrategia empleada por cada agente. En el caso particular de un juego no cooperativo de Cournot, la elección estratégica de cada agente es la cantidad de bien a producir y su función de pago coincide con la función de beneficio. Este artículo se propuso investigar el equilibrio de Nash y su estabilidad en un juego no cooperativo de Cournot con bienes diferenciados y función de demanda cóncava. El método empleado fue el de la economía matemática y, además, se utilizó una metodología de trabajo que se basa en la revisión bibliográfica, estudio de diversos procedimientos matemáticos y la simulación numérica en el software estadístico R. Como resultado se tiene un nuevo juego no cooperativo bipersonal de Cournot donde la función de demanda es cóncava y se demuestra que este juego tiene un único equilibrio de Nash que, además, es simétrico. Se concluye que, bajo la regla de actualización estratégica de expectativa ingenua, el equilibrio de Nash simétrico es asintóticamente estable y la permanencia en el mercado de las empresas solo es posible si ambas siguen la estrategia de imitación, es decir, cada empresa produce la misma cantidad de bien que su oponente en cada período de tiempo.
Duopolio de Cournot; bienes diferenciados; estabilidad y equilibrio de Nash.
In a non-cooperative game, the benefit of the agents involved in the game depends on their payment function and the strategy employed by each agent. In the particular case of a non-cooperative Cournot game, the strategic choice of each agent is the quantity of good to be produced and its payment function coincides with the benefit function. This paper set out to investigate the Nash equilibrium and its stability in a noncooperative Cournot game with differentiated goods and concave demand function. The method used was that of mathematical economics and, in addition, a methodology based on literature review, study of various mathematical procedures and numerical simulation in the statistical software R. As a result, we have a new bipersonal non-cooperative Cournot game where the demand function is concave and it is shown that this game has a unique Nash equilibrium which, in addition, is symmetric. It is concluded that, under the naive expectation strategic updating rule, the symmetric Nash equilibrium is asymptotically stable and the permanence in the market of the firms is only possible if both follow the imitation strategy, each firm produces the same amount of good as its opponent in each time period.
Cournot duopoly; differentiated goods; stability and Nash equilibrium.
El comportamiento estratégico de dos empresas cuando compiten en un mismo mercado ha sido de interés de varios investigadores. Los primeros trabajos alrededor de dicha temática fueron publicados por Cournot (1838) y Bertrand (1883). Cournot (1838) propone un modelo de duopolio en el que las empresas compiten ofreciendo un producto homogéneo y el beneficio de cada empresa es función de la cantidad producida (variables estratégicas) por ambas empresas. Para Bertrand (1883) las empresas compiten ofreciendo un producto homogéneo, pero las variables estratégicas son los precios, es decir, el beneficio de cada empresa es función de los precios que impongan en el mercado.
Para realizar el análisis estratégico de las empresas, Cournot propone un juego no cooperativo bipersonal infinito, donde la elección estratégica de las empresas es la cantidad a producir y la demanda queda establecida por una función lineal en la cantidad total de bienes a producir. Él demuestra la existencia y unicidad de un equilibrio de Nash del juego propuesto. Un supuesto importante en el modelo de Cournot es la homogeneidad de los bienes; en contraposición, Dixit (1979) y Singh y Vives (1984) estudian un modelo de duopolio con bienes diferenciados y función de demanda lineal.
Más recientemente Askar (2014) propone un modelo de oligopolio de Cournot donde la demanda está determinada por una función polinómica de grado cuatro sin puntos de inflexión. Éste demuestra la existencia y unicidad del equilibrio de Nash en su modelo, además investiga el comportamiento asintótico de dicho equilibrio, mostrando a través de simulación numérica la existencia de regiones de estabilidad y de bifurcación.
En los modelos de duopolio se encuentran juegos no cooperativos donde la función de pago es lineal (Cournot, 1838 y Bertrand, 1883) y, más recientemente, polinómica (Askar, 2014). Sin embargo, Askar no consideró los casos en que la función de pago sea un polinomio de grado dos, tres o en general de grado
. El estudio de los casos no abordados por Askar (2014) es muy importante, porque contribuiría al enriquecimiento de la teoría de duopolio, teoría de juegos no cooperativos, al entendimiento de los equilibrios de Nash en diferentes contextos, así como, la compresión del comportamiento estratégico de las empresas que compiten en un mismo mercado.
En este trabajo se estudia un duopolio de Cournot con bienes diferenciados y función de demanda inversa dada por una función polinómica de grado dos. El propósito de la investigación es investigar el equilibrio de Nash y su estabilidad en un juego no cooperativo de Cournot con bienes diferenciados y función de demanda cóncava. Para ello, se propone un modelo basado en un sistema de ecuaciones no lineales en diferencias, donde las empresas ajustan su decisión de acuerdo a las reglas de Naimzada y Tramontana (2012):
Conceptos básicos
A continuación, se enuncia una serie de definiciones que serán de mucha utilidad en la comprensión de las siguientes secciones.
Definición 1. Un pago (beneficio) es una función 𝜋:𝐴→ℝ que asocia un número real a cada acción 𝑎∈𝐴.
Definición 2. Un juego en forma estratégica (o en forma normal) es una tripleta (𝑁,{𝑆𝑖}𝑖∈𝑁,{𝜋𝑖}𝑖∈𝑁), donde 𝑁 es un conjunto finito de jugadores, {𝑆𝑖}𝑖∈𝑁 contiene el conjunto de estrategias para cada jugador y {𝜋𝑖}𝑖∈𝑁 especifica el pago de cada jugador.
Observación: Si cada 𝑆𝑖 es finito para cada 𝑖∈𝑁, el juego se llama finito, en caso contrario se llama infinito.
Definición 3. Sea (𝑁,{𝑆𝑖}𝑖∈𝑁,{𝜋𝑖}𝑖∈𝑁) un juego en forma normal. Un perfil de estrategias para el juego es un vector (𝑠1,𝑠2,…,𝑠𝑛)∈𝑆1×𝑆2×⋯×𝑆𝑛, donde 𝑛 es la cardinalidad del conjunto 𝑁.
Definición 4. Sea (𝑁,{𝑆𝑖}𝑖∈𝑁,{𝜋𝑖}𝑖∈𝑁) un juego en forma normal. Un perfil deestrategias (𝑠1∗,𝑠2∗,…,𝑠𝑛∗ ) es un equilibrio de Nash si para cada jugador 𝑖, 𝜋𝑖(𝑠1∗,𝑠2∗,…𝑠𝑖∗,⋯,𝑠𝑛∗ )≥𝜋𝑖(𝑠1∗,𝑠2∗,…𝑠𝑖,…,𝑠𝑛∗ ),∀ 𝑠𝑖∈𝑆𝑖.
Es decir, para cada jugador 𝑖, 𝑠𝑖∗ es una solución del problema max𝜋𝑖(𝑠1∗,𝑠2∗,…𝑠𝑖,⋯,𝑠𝑛∗ ) donde 𝑠𝑖 es la variable de decisión.
Observación: Si un equilibrio de Nash (𝑠1∗,𝑠2∗,…,𝑠𝑛∗ ) para un juego (𝑁,{𝑆𝑖}𝑖∈𝑁,{𝜋𝑖}𝑖∈𝑁) en forma normal cumple que 𝑠1∗=𝑠2∗=⋯=𝑠𝑛∗ , entonces el equilibrio de Nash se llama simétrico.
Para la realización del estudio se empleó como método la economía matemática. Este método es utilizado en el análisis económico, en el cual el economista emplea símbolos matemáticos para enunciar los problemas y se basa en teoremas matemáticos para auxiliarse en el razonamiento Chiang y Wainwright (2004/2006).
En cuanto a la metodología empleada en este trabajo, esta siguió las siguientes etapas:
Esta sección se inicia con la conceptualización del juego no cooperativo bipersonal de Cournot, el cual se analizará para averiguar la existencia de equilibrios de Nash.
Juego no cooperativo bipersonal de Cournot
Considérese un mercado formado por dos empresas, 1 y 2. Se supone que cada empresa 𝑖,𝑖=1 ,2, realiza su elección estratégica de forma simultánea con la empresa 𝑗,𝑗≠𝑖 y que ambas compiten a la Cournot, es decir, en la cantidad del bien a producir. Además, ambas empresas buscan maximizar sus ganancias y tienen información completa del mercado.
El producto de la empresa 𝑖 es diferente al producto de la empresa 𝑗 en una serie de características, y los consumidores tienen un gusto por la variedad según lo descrito por Beath y Katsoulacos (1991). Un ejemplo de un modelo con este tipo de diferenciación puede encontrarse en Bowley (1924), Dixit (1979) y Singh y Vives (1984).
Askar (2014) propone un juego no cooperativo de Cournot donde la función de demanda inversa es un polinomio de cuarto grado en la cantidad del bien a producir, en este trabajo, se propone un juego no cooperativo de Cournot similar al de Askar (2014), pero con funciones de demanda inversa dadas por un polinomio de segundo grado:
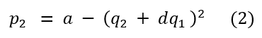
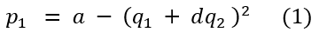
donde 𝑎 > 0 y 0 ≤ 𝑑 ≤ 1. El parámetro 𝑎 denota el tamaño del mercado y 𝑑 el grado de diferenciación de los productos producidos por ambas firmas. Nótese que si 𝑑 = 1, entonces ambas funciones de demanda son idénticas, es decir, los bienes son perfectamente sustitutos. Si 𝑑 = 0, entonces cada empresa se comporta como un monopolio. Además, al ser 𝑝1 y 𝑝2 polinomios de segundo grado en las cantidades del bien a producir por ambas empresas con coeficientes negativos salvo el tamaño del mercado, se tiene que las funciones de demanda son cóncavas.
La función de beneficio para la empresa 𝑖 (𝑖=1,2) es
con 𝑐 ∈ (0,𝑎) denotando el costo marginal. Se asume que el costo marginal es común para ambas empresas porque no se desea introducir otro foco de heterogeneidad entre las empresas que no sea 𝑑, ya que parte del propósito de este estudio es analizar el efecto en la estabilidad del equilibrio de Nash que tiene el grado de diferenciación 𝑑, cuando las funciones de demanda son cóncavas.
De acuerdo con las ecuaciones (1) - (3), las funciones de beneficio se pueden expresar como
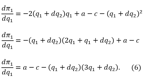
La derivada de 𝜋1 con respecto a 𝑞1 es entonces
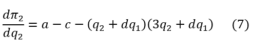
En forma análoga se calcula la derivada de 𝜋2 con respecto a 𝑞2, dando como resultado
Así, las condiciones de primer orden para el problema de maximización de beneficios de cada firma,
producen las siguientes ecuaciones
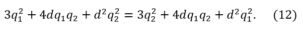
Como es conocido, la única solución admisible (𝑞1,𝑞
Según las ecuaciones (9) – (10),
es decir,
Luego,
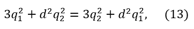
por lo cual
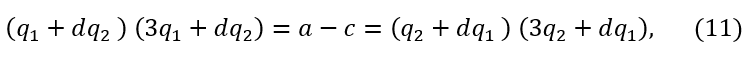
De la ecuación (14) se sigue que 𝑞12−𝑞22=0, ya que el factor 3−𝑑2 es distinto de cero en virtud de la restricción 0≤𝑑≤1. Por tanto, 𝑞12=𝑞22, lo que equivale a decir que 𝑞1=𝑞2, ya que 𝑞1,𝑞2≥0.
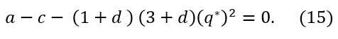
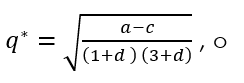
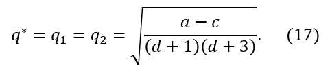
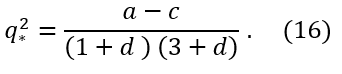
Como 𝑞1= 𝑞2, usaremos una misma notación para ambas variables, digamos 𝑞*. Al reemplazar 𝑞1 y 𝑞2 por 𝑞*, en cualquiera de las ecuaciones (9) - (10), se obtiene la ecuación cuadrática
Luego
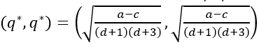
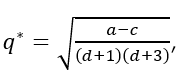
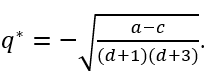
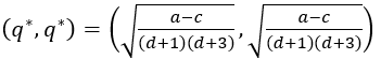
De la ecuación (16) se obtienen dos posibles soluciones para 𝑞*:, o bien
La segunda solución se descarta en virtud de la condición de que 𝑞∗ debe ser no negativo, ya que 𝑞∗ representa la cantidad del bien a producir. Por tanto
Como (𝑞∗,𝑞∗) es la solución simultanea de las ecuaciones (9) - (10), entonces es el equilibrio de Nash del juego no cooperativo de Cournot propuesto. A demás, al ser 𝑞1=𝑞2=𝑞∗, el equilibrio de Nash es simétrico.
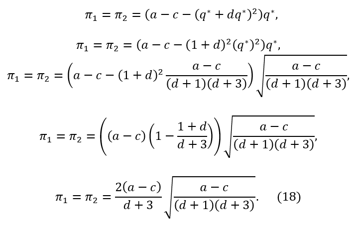
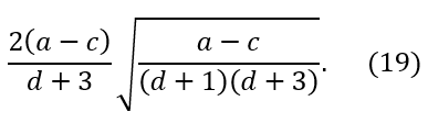
La relación 𝑞1=𝑞2=𝑞∗ lleva a la siguiente cadena de igualdades
Luego, el beneficio de cada empresa en el equilibrio de Nash simétrico es
Todo lo hecho hasta el momento permite establecer la siguiente:
Proposición. El juego no cooperativo de Cournot (𝑁={1,2},{𝑆1=[0,+∞),𝑆2=[0,+∞)},{𝜋1,𝜋2}) con 𝜋1 y 𝜋2 dadas por las ecuaciones (4) - (5) y 0≤𝑑≤1, tiene un único equilibrio de Nash dado por la ecuación (17). Además, este equilibrio de Nash es simétrico.
Observación: La expresión (19), que representa el beneficio de cada empresa en el equilibrio de Nash simétrico, es decreciente en 𝑑, lo cual significa que a mayor diferenciación (𝑑 → 0) mayor es el beneficio de cada firma. Además, sin importar los valores que tomen los parámetros (𝑎,𝑐 y 𝑑) cada empresa permanece en el mercado, es decir, produce su bien y tiene beneficio positivo. Otro hecho interesante es la estabilidad del equilibrio de Nash simétrico, lo cual es analizado a continuación.
Análisis de la estabilidad del equilibrio de Nash
Para el análisis de la estabilidad del equilibrio de Nash (𝑞∗,𝑞∗), considérese un juego de duopolio de Cournot repetido. Este consiste en dos empresas de racionalidad acotada que actualizan su estrategia de producción de forma discreta en el tiempo. Además, el conjunto de estrategias admisibles para cada jugador en cada período de tiempo 𝑡 es el conjunto [0,+∞) y el beneficio de cada empresa está dado por:
La función de beneficio 𝜋i𝑡 se interpreta de la siguiente manera: en un período de tiempo 𝑡∈ℕ cada empresa de forma simultánea elige la cantidad del bien a producir y por tanto queda determinado el precio de cada bien por las ecuaciones (1) y (2). Luego, 𝜋i𝑡 es el beneficio de la empresa 𝑖 en el período 𝑡.
En general, las empresas no tienen información completa acerca de la estrategia de producción a seguir en el próximo período por parte de la competencia. Debido a ello, cada empresa utiliza como regla de actualización para su elección estratégica la regla de expectativa ingenua o estática. Esta regla consiste en su poner que, la cantidad de bien a producir por la competencia en el período 𝑡+1 es la misma que la del período 𝑡. En símbolos, la empresa 𝑖 supone que la elección estratégica de la empresa 𝑗≠𝑖 en el período 𝑡+1 es 𝑞j𝑡+1=𝑞j𝑡. Este supuesto ha sido utilizado por diversos autores, por ejemplo, Puu (1991), Szidarovszky (1999) y Naimzada y Tramontana (2012).
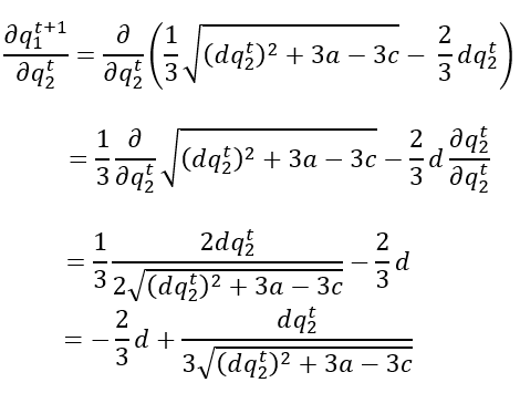
En el presente caso la empresa 𝑖 supone que en el período 𝑡+1 la empresa 𝑗≠𝑖 produce 𝑞j𝑡, esto significa que la función de mejor respuesta es el mecanismo instantáneo de ajuste del período 𝑡+1, es decir,
Las expresiones bajo los radicales en las ecuaciones anteriores son siempre positivas, ya que 𝑎>𝑐.
Bajo el supuesto de que ambas empresas actualizan su elección estratégica siguiendo la regla de expectativa ingenua, se tiene que 𝑞1𝑡+1=𝑞1 𝑡 y 𝑞2 𝑡+1=𝑞2 𝑡. Esto implica que el unico punto estacionario del sistema (21) - (22) resulta ser el punto de equilibrio de Nash. Por tal razón este sistema permite analizar el efecto del parámetro 𝑑 en la estabilidad del equilibrio de Nash.
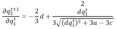
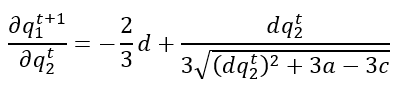
El sistema (21) - (22) se puede expresar como la función vectorial
Como 𝑞1𝑡+1 no depende de 𝑞1𝑡 y 𝑞2𝑡+1 no depende de 𝑞2𝑡, las derivadas parcial esy
son iguales a cero. Además,
Así,
y, en forma similar, se obtiene
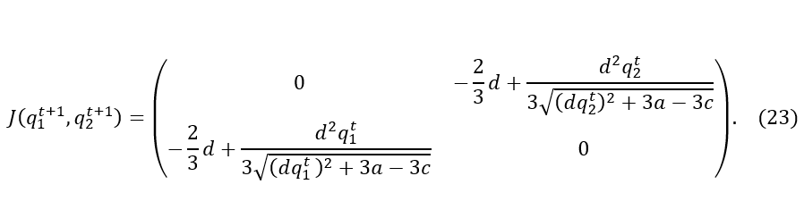
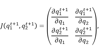
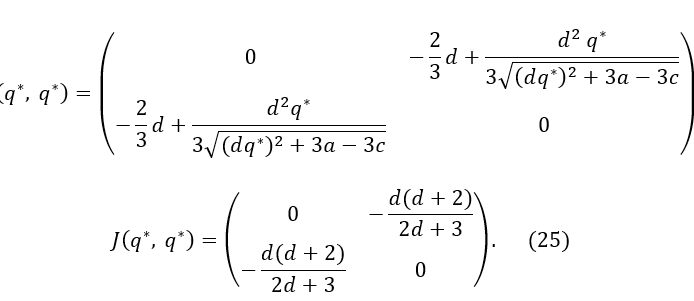
Por tanto, la matriz jacobiana de la función vectorial 𝑓=(𝑞1𝑡+1,𝑞2𝑡+1), o del sistema 4, es
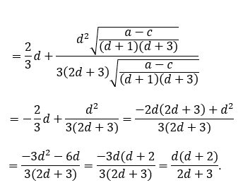
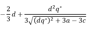
Para analizar la estabilidad del equilibrio de Nash simétrico hay que evaluar la matriz jacobiana 𝐽(𝑞1𝑡+1,𝑞2𝑡+1) en el punto Por cuestiones de espacio, primero se evaluará la expresión
para, con lo cual se obtiene
De este modo,
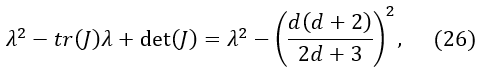
De la ecuación (24) se deduce que, al evaluar la matriz jacobiana 𝐽(𝑞1𝑡+1,𝑞2𝑡+1) en el equilibrio de Nash simétrico
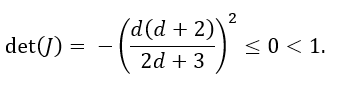
La traza y el determinante de la matriz respectivamente. Luego, su polinomio característico es
el cual tiene todas sus raíces reales. Según el teorema de Jury, el punto de equilibrio de Nash (𝑞∗, 𝑞∗) es asintóticamente estable si y sólo si se verifican las siguientes condiciones:
Las tres condiciones se satisfacen, ya que al ser 0≤𝑑≤1 resulta que 0≤𝑑(𝑑+2)≤𝑑+2<2𝑑+3, por lo cual En consecuencia,
Esto conduce al siguiente resultado:
Proposición. El punto de equilibrio de Nash (𝑞∗,𝑞∗) es asintóticamente estable para todo 𝑑 en el intervalo [0,1].
Simulación numérica
Con el propósito de mostrar la validez de los resultados obtenidos en las secciones anteriores, se presenta aquí la simulación del comportamiento del sistema (4) de acuerdo con la siguiente metodología: primero se fijan las condiciones iniciales y se varía el grado de diferenciación 𝑑, luego se fija el grado de diferenciación 𝑑 y se hace variar las condiciones iniciales. Todos los valores asignados a los parámetros son pre establecidos por los autores.
La figura 1 muestra la estabilidad del equilibrio de Nash cuando el tamaño del mercado es 0.5 y el costo marginal es igual a 0.2 . Nótese que los valores de 𝑥 e 𝑦 son idénticas para cada valor de 𝑑; además la gráfica es continua y decreciente en correspondencia con el decrecimiento del punto de equilibrio a medida que aumenta el grado de diferenciación. La figura 2 muestra dos trayectorias de 𝑞1(𝑡) y 𝑞2(𝑡) para valores iniciales (𝑞10, 𝑞20)=(0.5,0.1), (𝑞10,𝑞20)=(0.5,0.3) y parámetros 𝑎=0.5,c=0.2 y 𝑑=0.5, con el tiempo variando de 0 a 150.

Figura 1. Diagrama de estabilidad del equilibrio con 𝑎=0.5, 𝑐=0.2 y condiciones iniciales (𝑞

Figura 2. Sensibilidad a las condiciones iniciales del punto de equilibrio con 𝑎=0.5,c=0.2 y 𝑑=0.5. El programa utilizado para la creación del diagrama fue el software estadístico R versión 4.1.1.
En el presente trabajo se presentó un nuevo juego no cooperativo de Cournot, en el cual la función de demanda inversa (precios) está dada por un polinomio de segundo grado en las cantidades de bien a producir por ambas empresas. A partir de este juego se concluye que:
Askar, S. S. (2014). The impact of cost uncertainty on Cournot oligopoly game with concave demand function [El impacto de la incertidumbre en el costo en un juego de oligopolio de Cournot con función de demanda cóncava]. Applied Mathematics and Computation 232,144–149.
Beath, J., y Katsoulacos, Y. (1991). The economic theory of product differentiation [Teoría económica de la diferenciación de productos]. Cambridge University Press.
Bertrand, J. (1883). Review of Théorie Mathématique de la Richesse Sociale and
Recherches sur les Principles Mathématique de la Théorie des Richesses [Revisión de la Teoría Matemática de la Riqueza Social e Investigación sobre los principios matemáticos de la teoría de la riqueza]. Journal des Savants 68, 499–508.
Bowley, A. L. (1924). Mathematical Groundwork of Economics: An Introductory Treatise [Fundamentos matemáticos de la economía: Un trato introductorio]. Oxford University Press, Oxford.
Chiang, A. C., y Wainwright, K. (2006). Métodos fundamentales de economía matemática (F. Sánchez y R. Arrioja, Trad.). McGraw-Hill. (Obra original publicada en 2004)
Cournot, A. A. (1838). Recherches sur les Principles Mathématique de la Théorie des Richesses [Investigación sobre los principios matemáticos de la teoría de la riqueza]. chez L. Hachette.
Dixit, A. (1979). A model of duopoly suggesting a theory of entry barriers [Un modelo de duopolio que sugiere una teoría de las barreras de entrada]. The Bell Journal of Economics, 10, 20-32.
Naimzada, A. y Tramontana, F. (2012). Dynamic properties of a Cournot–Bertrand duopoly game with differentiated products [Propiedades dinámicas de un juego de duopolio de Cournot-Bertrand cn productos diferenciados]. Economic Modelling, 29(4), 1436-1439.
Puu, T., y Sushko, I. (2002). Oligopoly dynamics: Models and tools [Dinámica del oligopolio: Modelos y herramientas]. Springer-Verlag.
Singh, N., y Vives, X. (1984). Price and quantity competition in a differentiated duopoly [Competencia en precios y cantidades en un duopolio diferenciado]. The Rand journal of economics, 546-554.
Szidarovszky, F. (1999). Adaptive expectations in discrete dynamic oligopolies with production adjustment costs [Expectativas adaptativas en oligopolios dinámicos discretos con ajuste de costos de producción]. Pure Mathematics and Applications 10(2), 133–139.
© 2023 Revista Científica de FAREM-Estelí.
Este trabajo está licenciado bajo una Licencia Internacional Creative Commons 4.0 Atribución-NoComercial-CompartirIgual.