

Educación
Análisis de la integral definida para el cálculo de las magnitudes, fuerza y presión de un fluido en reposo
Analysis of the definite integral for the calculation of the magnitudes, force and pressure of a fluid at rest
Revista Torreón Universitario
Universidad Nacional Autónoma de Nicaragua-Managua, Nicaragua
ISSN: 2410-5708
ISSN-e: 2313-7215
Periodicidad: Cuatrimestral
vol. 12, núm. 34, 2023
Recepción: 11 Enero 2023
Aprobación: 18 Abril 2023

Resumen: El presente artículo, trata de la resolución de dos problemas inéditos sobre el contenido “Análisis de la integral definida para el cálculo de las magnitudes fuerza y presión de un fluido en reposo”; este estudio es muy importante ya que es interdisciplinario, es decir, toma elementos esenciales de Cálculo II, Álgebra III, Estructura de la Materia y Evaluación Educativa, además, proporciona información útil para próximos investigadores o personas que deseen capacitar sus conocimientos. El objetivo fundamental de este trabajo fue analizar de manera teórica y práctica qué es una integral definida, qué son magnitudes tanto vectoriales como escalares, y fluido en reposo, a través de un análisis descriptivo y un enfoque cualitativo proporcionando una mejor adquisición de las ciencias exactas (Física y Matemática), puesto que se tomaron aspectos relevantes de diferentes fuentes de información confiables. Por medio de este estudio se logró obtener resultados de calidad que ayuden a fomentar e incrementar los conocimientos tanto de estudiantes como también docentes que han sido partícipes de la investigación Esta contribuye en el desarrollo del aprendizaje que demanda el siglo XXI, puesto que toma los aspectos de innovación en la combinación de asignaturas y además permite fortalecer el pensamiento crítico de los nuevos intelectuales.
Palabras clave: Investigación, Problemas, Análisis, Aprendizajes, Anterdisciplinaria, Evaluación.
Abstract: This article deals with the resolution of two unpublished problems on the content "Analysis of the definite integral for the calculation of the magnitudes force and pressure of a fluid at rest"; this study is very important, since it is interdisciplinary, that is, it takes essential elements from Calculus II, Algebra III, Structure of Matter and Educational Evaluation, besides providing useful information for future researchers or people who wish to train their knowledge. The main objective of this work was to analyze in a theoretical and practical way what is a definite integral, what are vector and scalar magnitudes, and fluid at rest, through a descriptive analysis and a qualitative approach, providing a better acquisition of the exact sciences (Physics and Mathematics), since relevant aspects were taken from different reliable sources of information. Through this study, it was possible to obtain quality results that help to promote and increase the knowledge of both students and teachers who have participated in the research, which contributes to the development of learning demanded by the XXI century, since it takes the aspects of innovation in the combination of subjects, and also allows strengthening the critical thinking of the new intellectuals.
Keywords: Research, Problems, Analysis, Learning, Interdisciplinary, Evaluation.
I. INTRODUCCIÓN
Esta investigación se realizó con la finalidad de comprender y adaptarse a los contenidos teóricos de una manera más sencilla, favoreciendo el análisis y el aprendizaje mediante la integración de asignaturas, tomando en cuenta que tanto vectores, fluidos en reposo e integrales definidas, tienen diferentes áreas de aplicación; en este caso se hizo referencia en como la vinculación de estos temas pueden ser contextualizados a la aplicación y resolución de problemas Físicos y Matemáticos.
En este trabajo es relevante fundamentar teóricamente el tema en estudio, desde describir los diferentes conceptos teóricos, así como su aplicación en la resolución de problemas prácticos, además se diseñó una rúbrica para que los docentes puedan evaluar la investigación realizada de forma más detallada, fácil y ordenada, por lo tanto, este proceso es considerado importante e interesante, ya que proporciona conocimientos y una nueva metodología, por lo cual será de gran utilidad para próximos investigadores, estudiantes universitarios y docentes que deseen retroalimentar sus aprendizajes.
Por otra parte, es preciso destacar que existen pocos estudios sobre el tema a nivel local, puesto que, la investigación ejecutada es interdisciplinaria. Es decir, esta toma puntos de vista relevantes sobre cada una de las variables en estudio descritas en el contenido, mediante las cuales será posible fortalecer y motivar el proceso de enseñanza aprendizaje, ya que, a través de esta investigación se pueden retroalimentar los conocimientos debido a que esta se basa principalmente en el estudio de fluidos mediante integrales definidas con base a las magnitudes fuerza y presión.
En el mismo sentido y como se menciona anteriormente, esta investigación es de gran beneficio para universitarios, docentes y demás personas interesadas en el tema porque proporciona calidad teórica y científica, lo cual es productivo para desarrollar el andar del conocer y del saber nuevas cosas del curso educativo puesto que, por medio de esta se le da salida a problemas que contienen elementos de las ciencias exactas (Física y Matemática), asegurando la cientificidad del contenido a través de la evaluación de los problemas ya analizados permitiendo la capacidad para interpretar y transmitir información adecuada y veraz potenciando el pensamiento analítico y mental de los próximos investigadores.
La parte de la mecánica teórica que estudia el movimiento y el equilibrio de un medio deformable es la mecánica de los medios continuos, y la parte de esta que se refiere al estudio de los gases y los líquidos es la mecánica de los fluidos, es decir, la mecánica de los fluidos estudia los gases y los líquidos como si estos representasen una distribución continua de la materia. (López 2019, p.13).
En el mismo sentido, la mecánica de los fluidos es una rama de la física que está dentro de la mecánica de los medios continuos que se dedica a estudiar el movimiento de los mismos, de igual manera estudia los fluidos en reposo y en movimiento, indistintamente (como lo son los líquidos y los gases).
II. MÉTODOS
2.1 Tipo de Estudio
Guerrero (2016) sostiene que:
La investigación cualitativa se centra en comprender y profundizar los fenómenos analizándolos desde el punto de vista de los participantes en su ambiente y en relación con los aspectos que los rodean. Normalmente, es escogido cuando se busca comprender la perspectiva de individuos o grupos de personas a los que se investigará, acerca de los sucesos que los rodean, ahondar en sus experiencias, opiniones, conociendo de esta forma cómo subjetivamente perciben la realidad. (p.3).
Por consiguiente, el estudio que se toma en cuenta en este proceso investigativo es el enfoque cualitativo el cual, a diferencia del cuantitativo, este no se basa en recolección de datos numéricos sino, en las características de cada uno de los participantes de la investigación, quienes toman en cuenta una estrategia de investigación flexible e interactiva; además, es un estudio descriptivo que está centrado en las interpretaciones, las experiencias y su significado.
2.2 Recolección de la Información
Hernández y Duana (2020) explican que:
La recolección de datos es considerada como la medición, es una precondición para obtener el conocimiento científico. El instrumento de recolección de datos está orientado a crear las condiciones para la medición. Los datos son conceptos que expresan una abstracción del mundo real, de lo sensorial, susceptible de ser percibido por los sentidos de manera directa o indirecta, donde todo lo empírico es medible. (p.51).
Es decir que la recolección de información es aquella que proporciona la explicación de una temática importante para el desarrollo del conocimiento, por ejemplo, en esta investigación se tomaron diferentes fuentes de información para recolectar datos adecuados al contenido, tales como: revistas, libros, sitios web, PDF´s, entre otros.
2.3 Análisis de la Información
Sarduy (2007) expresa que:
El objetivo del análisis de información es obtener ideas relevantes de las distintas fuentes de información lo cual permite expresar el contenido sin anfibología con el propósito de almacenar y recuperar la información contenida. El análisis de información forma parte del proceso de adquisición y apropiación de los conocimientos latentes acumulados en distintas fuentes de información. El análisis busca identificar información “útil”, es decir, aquella que interesa al usuario, a partir de una gran cantidad de datos. (p.3)
En este estudio se dio un análisis descriptivo para llegar a la interpretación de los datos obtenidos mediante las diferentes fuentes de información iniciando con la codificación de los datos recabados para que resultara más fácil su comprensión, el cual se elaboró mediante resumen, imágenes, notas al pie y tomando en cuenta el análisis cualitativo y cuantitativo de los problemas inéditos realizados.
III. ANÁLISIS DE RESULTADOS
Se presenta el análisis de los resultados de estudio en relación a los objetivos planteados los cuales han sido redactados con base al contenido análisis de la integral definida para el cálculo de las magnitudes, fuerza y presión de un fluido en reposo.
Para esto fue importante describir fundamentos teóricos que enriquecieran el estudio de integrales, magnitudes como fuerza y presión de un fluido en reposo con un análisis vectorial a través de diferentes fuentes de información confiables que permitieron la veracidad de cada dato recabado, entre estas están:

Integrales definidas: donde se explica que, una integral definida sirve para calcular un área definida de un intervalo.
Vectores: se dice que es un segmento orientado que posee módulo, sentido y dirección, donde el módulo es la longitud del vector
Fuerza: en el esquema se puede identificar la fórmula de la fuerza, la cual dice que esta va a ser igual al producto de su masa por la aceleración.
Presión: de la misma manera a través del esquema se puede visualizar la fórmula de la presión, la cual dice que esta va a ser igual a la división de la fuerza entre área.
Fluido en reposo: cuando un fluido está en reposo no cuenta con ningún movimiento que altere su posición, es decir, cuenta con equilibrio (la hidrostática). Por ejemplo, un vaso con agua en su interior, una piscina llena de agua entre otros.
Por consiguiente, se aplicaron los conceptos teóricos para la solución de dos problemas inéditos que proporcionan datos valiosos en el análisis de la integral definida para el cálculo de las magnitudes fuerza y presión de un fluido en reposo, los cuales serán detallados en la resolución de dos ejercicios propuestos que los contiene.
Propuesta 1:
Determine fuerza y presión en cada una de las caras de una piscina llena de agua, teniendo en cuenta los siguientes planos

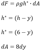
En esta parte del problema se reemplazan los valores en el Teorema de Pitágoras , recordando que el Teorema de Pitágoras hip2 = cat2 + cat2se utiliza en triángulos rectángulos siendo la hipotenusa el lado más largo del triángulo, por lo tanto, teniendo el lado más largo y uno de los catetos se necesita encontrar el otro cateto esto fue posible despejando de la ecuación principal, donde se obtiene como resultado una altura de 6 m, dato que será importante para luego encontrar la fuerza de cada una de las caras de la piscina.

Encontrar magnitudes vectoriales fuerza y presión en la primera cara de la piscina.

En este plano se representa la primera cara de la piscina, la cual posee medidas de 8 m de largo y una altura de 6 m, a través de esta se podrá calcular la fuerza y presión del fluido en reposo donde la fuerza será calculada con respecto a la integral definida debido a que esta estudia parte fundamental de la física, Esta integral esta expresada de cero a seis ya que esta es el área de la misma.

Teniendo la integral dada se procede a resolver sacando las constantes fuera de la integral estas serían 8pg recordando que la densidad y la gravedad son constantes porque son cantidades que ya están dadas quedando dentro de la integral.

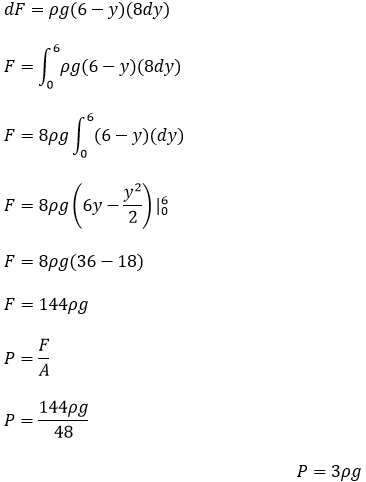
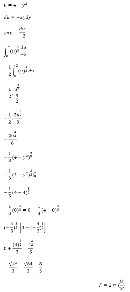
Encontrar magnitudes vectoriales fuerza y presión de la segunda cara de la piscina1


Propuesta 2:
Esta propuesta fue una idea empleada por el equipo con la intención de dar solución al segundo objetivo, aplicar conceptos teóricos sobre el contenido análisis de la integral definida para el cálculo de las magnitudes fuerza y presión de un fluido en reposo. La idea fue un poco complicada de llevar a cabo debido a que se tenía que hacer un ejercicio donde se aplicaran conceptos de diferentes asignaturas, pero, con la ayuda de todos los participantes y de la teoría investigada fue posible analizar y plantear el siguiente problema.
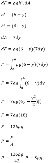
Encuentre la fuerza causada por la presión de un líquido teniendo en cuenta que la placa es semicircular.
Resuelva a través del siguiente plano:


Aplicar sustitución o cambio de variable:

El aplicar los conceptos teóricos en el planteamiento de los dos problemas descritos anteriormente permitió confirmar que la investigación realizada contiene información eficaz y confiable ya que por medio de esta se pudo dar respuesta a cada uno de los problemas inéditos con un proceso más sencillo de resolución.
Como parte del proceso investigativo y evaluación del mismo fue necesario diseñar una rúbrica mediante la cual será posible evaluar el trabajo realizado tomando en cuenta el formato que debe llevar la investigación, esta es muy importante porque permitirá al docente evaluador dar un resultado consiente y con ética profesional, donde el alumnado le permite ver donde fue que faltó mejorar en la investigación lo cual hace notar el error de una forma más sencilla y considerable.

Diseñar la rúbrica para la evaluación del trabajo investigativo fue relevante para conocer los resultados obtenidos de forma más fácil y comprensible, ya que, a esta la caracteriza el profesionalismo y ética para evaluar diferentes trabajos, ya sean, investigaciones, vídeos, ensayos, entre otros.
IV. CONCLUSIONES
Referente a los fundamentos teóricos que se deben tener en cuenta, principalmente, para comprender los problemas inéditos son: integrales definidas, vectores, fluido en reposo, como también magnitudes escalares y vectoriales.
A través de cada uno de los conceptos fundamentales descritos fue posible potencializar los conocimientos desde un enfoque teórico, permitiendo la resolución de dos problemas inéditos referente al tema, los cuales fueron evaluados por medio de una rúbrica que permitió valorar el trabajo de manera presentable y organizada.
En cuanto al proceso del trabajo investigativo, se puede constatar que, ha sido un reto debido a que, insta al grupo a un desarrollo de indagación amplio por parte de la combinación de asignaturas, lo que tiende a ser un poco complejo al momento de organizar las ideas y llevar a cabo el planteamiento de dos ejercicios totalmente nuevos, pero es importante recalcar que, gracias a este proceso se adquirió un pensamiento más crítico y lógico del estudio Físico y Matemático.
En la misma línea, es necesario reiterar que esta investigación da resultados positivos, ya que, las propuestas permiten desarrollar el contenido análisis de la integral definida para el cálculo de las magnitudes, fuerza y presión de un fluido en reposo, tomando en cuenta la interdisciplinaridad, debido a que, presenta aspectos de Álgebra III, Cálculo II, Estructura de la Materia y Evaluación Educativa.
V. REFERENCIAS
Araujo Rodríguez, F. (2018). CÁLCULO INTEGRAL (1ra edición Universidad Politécnica Salesiana Av.Turuhuayco 3-69 y Calle Vieja Cuenca-Ecuador ed.). Quito, Ecuador: Editorial Universitaria Abya-Yala Quito-Ecuador. https://dspace.ups.edu.ec/bitstrem/123456789/17058/1/CALCULO%20integral.pdf
Guerrero Bejerano, M. A. (15 de Enero/Febrero de 2016). La Investigación Cualitativa. .(2), 1-9. Doi: 10.33890
Hernández Mendoza, S. L., & Duana Ávila, D. (2020). Técnicas e instrumentos de recolección de datos. Boletín Científico de las Ciencias Económico Administrativas del ICEA, 9(17), 51-53. https://repository.uaeh.edu.mx/revistas/index.php/icea/issue/archive
López Peña, F. (2019). ruc.udc.es. doi:https://doi.org/10.17979/spudc.97884497497244
Sarduy Domínguez, Y. (julio/septiembre de 2007). El análisis de información y las investigaciones cuantitativa y cualitativa. Revista cubana de SALUD PUBLICA, 33(3), 1-12. Doi: 21433320
Glosario
Términos técnicos o especializados:

Notas

