ISSN 2410-5708 / e-ISSN 2313-7215
Year 12 | No. 34 | June - September 2023
© Copyright (2023). National Autonomous University of Nicaragua, Managua.
This document is under a Creative Commons
Attribution-NonCommercial-NoDerivs 4.0 International licence.
Analysis of the definite integral for the calculation of the magnitudes, force, and pressure of a fluid at rest.
https://doi.org/10.5377/rtu.v12i34.16342
Submitted on January 11th, 2023 / Accepted on April 18th, 2023
Ayda Iris Ortuño Blandón
Professor of Secondary Education with a
mention in Physics-Mathematics.
National Autonomous University of Nicaragua, Managua.
Regional Multidisciplinary Faculty of Esteli.
Edwin Ariel Ferrufino Amador
Professor of Secondary Education with
specialization in Physics-Mathematics.
National Autonomous University of Nicaragua, Managua.
Regional Multidisciplinary Faculty of Esteli.
Gloria Elena Pérez Ruíz
Professor of Secondary Education with
specialization in Physics-Mathematics.
National Autonomous University of Nicaragua, Managua.
Regional Multidisciplinary Faculty of Esteli.
Cliffor Jerry Herrera Castrillo
Master in Applied Mathematics.
National Autonomous University of Nicaragua, Managua.
Multidisciplinary Regional Faculty of Esteli.
Section: Education
Scientific research article
Keywords: Research, Problems, Analysis, Learning, Interdisciplinary, Evaluation.
Abstract
This article deals with the resolution of two unpublished problems on the content “Analysis of the definite integral for the calculation of the magnitudes force and pressure of a fluid at rest”; this study is very important because it is interdisciplinary, that is, it takes essential elements of Calculus II, Algebra III, Structure of Matter and Educational Evaluation, in addition, it provides useful information for future researchers or people who wish to train their knowledge. The main objective of this work was to analyze in a theoretical and practical way what is a definite integral, what are vector and scalar magnitudes, and fluid at rest, through a descriptive analysis and a qualitative approach providing a better acquisition of the exact sciences (physics and mathematics), since relevant aspects were taken from different reliable sources of information. Through this study, it was possible to obtain quality results that help to promote and increase the knowledge of both students and teachers who have participated in the research. This contributes to the development of learning demanded by the XXI century since it takes the aspects of innovation in the combination of subjects and also allows to strengthen the critical thinking of the new intellectuals.
1. INTRODUCTION
This research was carried out with the purpose of understanding and adapting to the theoretical contents in a simpler way, favoring the analysis and learning through the integration of subjects, taking into account that both vectors, fluids at rest and definite integrals, have different areas of application; in this case, reference was made on how the linking of these topics can be contextualized to the application and resolution of physical and mathematical problems.
In this work it is relevant to provide a theoretical basis for the topic under study, from describing the different theoretical concepts, as well as their application in the resolution of practical problems, also a rubric was designed so that teachers can evaluate the research conducted in a more detailed, easy and orderly manner, therefore, this process is considered important and interesting, since it provides knowledge and a new methodology, so it will be very useful for future researchers, university students and teachers who wish to provide feedback on their learning.
On the other hand, it should be noted that there are few studies on the subject at the local level since the research carried out is interdisciplinary. That is, it takes relevant points of view on each of the variables under study described in the content, through which it will be possible to strengthen and motivate the teaching-learning process, since, through this research, knowledge can be fed back because it is mainly based on the study of fluids through defined integrals based on the force and pressure magnitudes.
In the same sense and as mentioned above, this research is of great benefit to university students, teachers, and other people interested in the subject because it provides theoretical and scientific quality, which is productive to develop the walk of knowing and knowing new things of the educational course since, through this research, problems containing elements of the exact sciences (physics and mathematics) are solved, assuring the scientificity of the content through the evaluation of the problems already analyzed, allowing the capacity to interpret and transmit adequate and truthful information, strengthening the analytical and mental thinking of the future researchers.
The part of theoretical mechanics that studies the motion and equilibrium of a deformable medium is the mechanics of continuous media, and the part of this that refers to the study of gases and liquids is the mechanics of fluids, i.e., the mechanics of fluids studies gases and liquids as if they represented a continuous distribution of matter. (Lopez 2019, p.13).
In the same sense, fluid mechanics is a branch of physics that is within the mechanics of continuous media that is dedicated to studying the movement of the same, in the same way, it studies fluids at rest and in motion, indistinctly (as are liquids and gases).
2. METHODS
2.1. Type of study
Guerrero (2016) argues that:
Qualitative research focuses on understanding and deepening phenomena by analyzing them from the point of view of the participants in their environment and concerning the aspects that surround them. Normally, it is chosen when seeking to understand the perspective of individuals or groups of people to be investigated, about the events that surround them, delve into their experiences, and opinions, thus knowing how they subjectively perceive reality. (p.3).
Therefore, the study taken into account in this research process is the qualitative approach which, unlike the quantitative approach, is not based on numerical data collection but on the characteristics of each of the research participants, who take into account a flexible and interactive research strategy; in addition, it is a descriptive study that is focused on interpretations, experiences and their meaning.
2.2. Collection of information
Hernández and Duana (2020) explain that:
Data collection is considered a measurement, it is a precondition to obtaining scientific knowledge. The data collection instrument is oriented to create the conditions for measurement. Data are concepts that express an abstraction of the real world, of the sensory, susceptible to be perceived by the senses directly or indirectly, where everything empirical is measurable (p.51).
That is to say that the collection of information is that which explains an important subject for the development of knowledge, for example, in this research different sources of information were taken to collect data appropriate to the content, such as magazines, books, websites, PDF’s, among others.
2.3. Information Analysis
Sarduy (2007) states that:
The objective of information analysis is to obtain relevant ideas from different sources of information which allow the expression of the content without amphibology to store and retrieve the information contained. Information analysis is part of the process of acquiring and appropriating latent knowledge accumulated in different information sources. The analysis seeks to identify “useful” information, i.e., that which interests the user, from a large amount of data. (p.3).
In this study, a descriptive analysis was carried out to arrive at the interpretation of the data obtained through the different sources of information, starting with the codification of the data collected to make it easier to understand, which was elaborated using a summary, images, footnotes and taking into account the qualitative and quantitative analysis of the unpublished problems carried out.
3. ANALYSIS OF RESULTS
The analysis of the results of the study is presented about the proposed objectives, which have been written based on the content analysis of the definite integral for the calculation of the magnitudes, force, and pressure of a fluid at rest.
For this it was important to describe theoretical foundations that enrich the study of integrals, magnitudes such as force and pressure of a fluid at rest with a vector analysis through different reliable sources of information that allowed the veracity of each data collection, among these are:
Figure 1
Most relevant sources of information for this research.

Own creation
In the previous graph it is possible to observe the most important theoretical foundations of the research process, among these are:
•Definite integrals: where it is explained that a definite integral is used to calculate a defined area of an interval.
•Vectors: it is said that it is an oriented segment that has a module, orientation, and direction, where the module is the length of the vector.
•Force: in the diagram, we can identify the formula of the force, which says that it will be equal to the product of its mass by the acceleration.
•Pressure: in the same way through the diagram, we can visualize the pressure formula, which says that it will be equal to the division of the force by the area.
•Fluid at rest: when a fluid is at rest it does not have any movement that alters its position, that is, it has equilibrium (hydrostatics). For example, a glass with water inside, a pool full of water, among others.
Consequently, the theoretical concepts were applied to the solution of two unpublished problems that provide valuable data in the analysis of the definite integral for the calculation of the force and pressure magnitudes of a fluid at rest, which will be detailed in the resolution of two proposed exercises that contain them.
Proposition 1:
Determine the force and pressure on each of the faces of a pool filled with water, taking into account the following planes.
Figure 2
Plane of problem 1
Own creation
In this part of the problem replace the values in the Pythagorean Theorem hip2=cat2+cat2, remembering that the Pythagorean Theorem is used in right triangles being the hypotenuse the longest side of the triangle, therefore, having the longest side and one of the legs we need to find the other leg this was possible by clearing from the main equation, where we obtain as a result a height of 6 m, data that will be important to later find the strength of each of the faces of the pool.
hip2 = cat2 + cat2
(10)2 = (8)2 + (cat)2
100 = 64 + cat2
cat2 =100 - 64
cat2 = 36
cat = √36
cat = 6 pool height
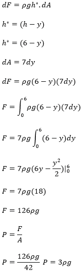
Find vector magnitudes force and pressure on the first face of the pool.
Figure 3
Plane of face 1 of the pool.
Own creation
In this plane is represented the first face of the pool, which has measures of 8 m long and a height of 6 m, through this it will be possible to calculate the force and pressure of the fluid at rest where the force will be calculated concerning the definite integral
f(x)dx because this studies fundamental part of physics. This integral is expressed from zero to six since this is the area of the same.
dF = ρgh*∙ dA
h* = (h-y)
h* = (6-y)
dA = 8dy
Having the given integral we proceed to solve by taking the constants out of the integral these would be 8pg remembering that density and gravity are constants because they are quantities that are already given remaining inside the integral
(6-y)(dy).
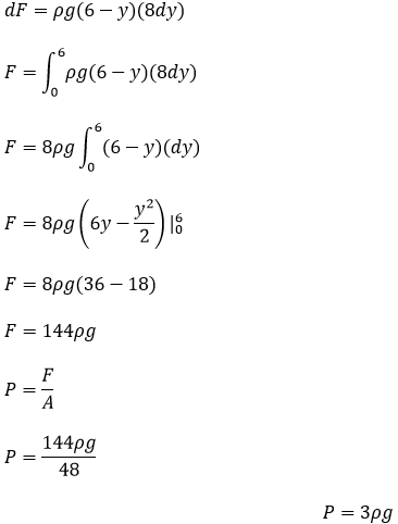
Find vector magnitudes force and pressure of the second face of the pool1.
Figure 4
Plane of face 2 of the pool.
Own creation
Proposition 2:
This proposal was an idea employed by the team with the intention of providing a solution to the second objective, to apply theoretical concepts to the content analysis of the definite integral for the calculation of the magnitude force and pressure of a fluid at rest.
The idea was a little complicated to carry out because an exercise had to be done where concepts from different subjects were applied, but, with the help of all the participants and the researched theory, it was possible to analyze and pose the following problem.
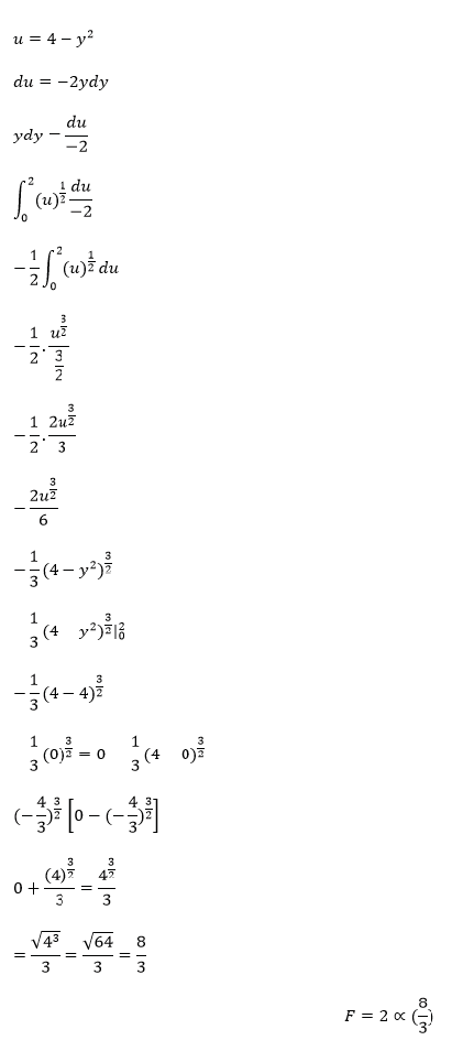
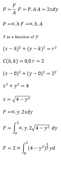
Find the force caused by the pressure of a liquid considering that the plate is semicircular.
Solve it employing the following plan:
Figure 5
Plane of problem 2
Own creation
Apply substitution or change of variable:
The application of the theoretical concepts in the approach to the two problems described above allowed confirming that the research carried out contains effective and reliable information since through this it was possible to answer each of the unpublished problems with a simpler process of resolution.
As part of the research process and its evaluation, it was necessary to design a rubric through which it will be possible to evaluate the work done, taking into account the format that the research must follow. This is very important because it will allow the evaluating teacher to give a conscious result with professional ethics, where the students can see where they failed to improve in the research, which makes the error noticeable more simply and considerably.
Figure 6
Characteristics taken into account for the development of the rubric.

Own creation
Designing the rubric for the evaluation of the research work was relevant to know the results obtained more easily and understandably, since it is characterized by professionalism and ethics to evaluate different works, whether research, videos, or essays, among others.
4. CONCLUSIONS
The theoretical foundations that should be taken into account, mainly, to understand the unpublished problems are: definite integrals, vectors, fluid at rest, as well as scalar and vector magnitudes.
Through each of the fundamental concepts described, it was possible to potentiate the knowledge from a theoretical approach, allowing the resolution of two unpublished problems related to the subject, which were evaluated through a rubric that allowed the work to be evaluated in a presentable and organized manner.
Regarding the process of the research work, it can be stated that it has been a challenge because it urges the group to a broad inquiry development by the combination of subjects, which tends to be a bit complex when organizing ideas and carrying out the approach of two new exercises, but it is important to emphasize that, thanks to this process, more critical and logical thinking of the physical and mathematical study was acquired.
Along the same line, it is necessary to reiterate that this research gives positive results, since, the proposals allow the development of the content analysis of the definite integral for the calculation of the magnitudes, force, and pressure of a fluid at rest, taking into account the interdisciplinarity, because, it presents aspects of Algebra III, Calculus II, Structure of Matter and Educational Evaluation.
Glossary of technical or specialized terms
|
Abbreviation |
Meaning |
Abbreviation |
Meaning |
|
hip |
Hypotenuse |
h |
Height |
|
cat |
Legs |
m |
Meters |
|
dF |
The differential of the force will be equal to the product of the density times the gravity times the height times the asterisk times the differential of the area. |
h* |
The equivalent of the total height minus “y” which would be the height of the water inside the pool. |
|
dA |
It is the length of the pool face times the differential of and. |
ρ |
Density |
|
g |
Gravity |
|
Integral define concerning y |
|
P |
Pressure |
F |
Strength |
|
A |
Area |
α |
Specific Weight |
|
C(h,k) |
Center h, k |
u |
Variable, to use the substitution method |
Works Cited
Araujo Rodríguez, F. (2018). CÁLCULO INTEGRAL (1ra edición Universidad Politécnica Salesiana Av.Turuhuayco 3-69 y Calle Vieja Cuenca-Ecuador ed.): Editorial Universitaria Abya-Yala Quito-Ecuador. https://dspace.ups.edu.ec/bitstrem/123456789/17058/1/CALCULO%20integral.pdf
Guerrero Bejerano, M. A. (15 de Enero/Febrero de 2016). La Investigación Cualitativa. 1(2), 1-9. Doi: 10.33890
Hernández Mendoza, S. L., & Duana Ávila, D. (2020). Técnicas e instrumentos de recolección de datos. Boletín Científico de las Ciencias Económico Administrativas del ICEA, 9(17), 51-53. https://repository.uaeh.edu.mx/revistas/index.php/icea/issue/archive
López Peña, F. (2019). ruc.udc.es. doi:https://doi.org/10.17979/spudc.97884497497244
Sarduy Domínguez, Y. (julio/septiembre de 2007). El análisis de información y las investigaciones cuantitativa y cualitativa. Revista cubana de SALUD PUBLICA, 33(3), 1-12. Doi: 21433320
Foot note
1. To find the force and pressure on the second side of the pool, each of the steps performed on the first side must be followed, taking into account the data given for the second side of the pool.